K-PATTERNS

Back to GEOMETRY GARRET

Alan H. Schoen

Support Wikipedia

Locations of visitors to this page




D. K-PATTERNS: IMAGES DERIVED FROM PARTIAL SUMS OF POWER RESIDUES

(STILL UNDER CONSTRUCTION!)

                             BACKGROUND

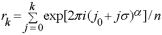
We define a K-pattern as a chain of ν unit vectors uk, each of which joins rk
and rk+1 (k = 0,1,2,...), a consecutive pair of points in the plane, where        
            .

  The five parameters of a K-pattern — n, α, σ, ν, j0 — are defined as follows:

                     n, α, σ, ν are positive integers;
             j0 = non-negative integer.

           n is called the modulus,
α the exponent,  
σ the [loop] step,
ν the period, and
     j0 the initial j-value.

(I am grateful to the mathematician Andrew Odlyszko, who explained to me   
in 1982 that these partial sums, which underlie the images I call K-patterns,   
are just generalized versions of well known expressions called Kummer sums.)

        Below are the 68 different K-patterns for <n, α, j0> = <69, 3, 0>, one for every value
of σi in the interval [1≤ i ≤ 68]. The images for σ1=1 to σ7=7 are in the left-most
         column, starting from the top. The images for σ8=8 to σ14=14 are similarly ordered in
   the second column (etc.). I'll call this arrangement 'left-to-right column order' .
(To see these Mathematica images in slightly higher resolution, click here.)        

   Immediately below these images is an earlier panel showing the same K-patterns
        drawn in 'rounded' style (see definition of 'rounded' below). I drew this second panel
in 1983, using a FORTRAN program and a Calcomp pen plotter.                        

Some K-patterns are open curves, while others are closed. The open ones   
              (lattice curves) have translation symmetry. The symmetry and the period ν of each
pattern depend in quite complicated ways on the parameters n, α, σ, and j0.

        This survey includes a wide variety of examples of pattern families. But in order
          to develop a complete taxonomy of these patterns, one would need to investigate
the behavior of additional parameter sets and prove more comprehensive   
theorems about how the period and symmetery depend on the parameters.  
        The emphasis here is on guessing the underlying rules by the study of examples
            rather than by proving theorems. In 1983, I issued an interim report on K-patterns
              that does include proofs of a few relevant theorems, along with several conjectures.

                      In 1986, in Section 03 of ICM 86 at UC Berkeley (where the topic was classical number
              theory
), I described my Summary Report, in which I introduced an algorithm for    
      assigning colors to the various line segments in K-patterns that have reflection
symmetry so that they will also display color symmetry:                             

"An efficient algorithm for locating lines of reflection in K-patterns —
      computer graphics patterns derived from partial sums of power residues
"

          A few of the K-patterns shown below are rounded: instead of
     joining consecutive vertices rk and rk+1 by a unit vector uk,
         (a) every computed unit vector uk is divided into two collinear
half-unit vectors u1k and u2k (which are not plotted),      
and
(b) the midpoints of consecutive half-unit vectors            
..., u1k, u2k, u1k+1, u2k+1, ...
are connected by a line segment (cf. illustration below).   


We call the dashed curve a standard K-pattern
and the red curve a rounded K-pattern.



                             COLOR REFLECTION SYMMETRY



                             EXAMPLES                                                                                                      


EXAMPLE: (n, α) = (3 ⋅ 52, 3)                                                  
= (75, 3)                      
(a)                                                     
σ = odd prime p ∋ GCD(p, n) = 1  
ν = 2n                                               
symmetry = d6                                

There are 20 distinct images.          
          The label under each image is its σ value.

The images below were made with Mathematica.  
The b&w images were drawn using 'Line', while   
the colored images were drawn using 'Polygon'.    


                      1                       7                        11                      13                     17                     19                      23                     

                      29                       31                     37                   41                       43                        47                     49                     

   53                              59                         61                         67                          71                        73 



                      1                       7                        11                       13                     17                     19                     23                     

                      29                       31                     37                   41                       43                        47                     49                     

  53                              59                         61                         67                          71                        73 


(b)                                                    
(n, α) = (75, 3)                                
σ = even integer i ∋ GCD(i, n) = 1
ν = n                                               
symmetry = d3                                

There are 20 distinct images.          
          The label under each image is its σ value.


2                            4                             8                         14                          16                          22

   26                           28                            32                       34                         38                            44 

                    52                      56                        58                      62                     64                    68                     74                     



   2                            4                             8                         14                         16                            22 

                   26                      28                       32                       34                     38                    44                     46                     

                    52                      56                        58                      62                     64                    68                     74                     



EXAMPLE: (n, α) = (5 ⋅ 32, 5)                                                  
= (45, 5)                        

(a)                                                      
                    σ = either 1 or else odd prime p ∋ GCD(p, n) = 1
ν = 2n                                                
symmetry = d10                                 

                                       There are 13 distinct images, one for each allowed value of σ.


   1                              3                             7                            11                          13                           17 

                     19                      23                      29                       31                       37                      41                      43                     


(b)                                                     
(n, α) = (45, 5)                                
σ = even integer i ∋ GCD(i, n) = 1
ν = n                                               
symmetry = d5                                 

                                         There are 12 distinct images, one for each allowed value of σ.


  2                            4                             8                            14                           16                           22  

26                           28                           32                           34                          38                          44  


    On page 9 of my 1984 interim report on K-patterns, I described a curious phenomenon I'll call pattern redumdancy: the
        occurrence of a particular pattern for more than one value of the loop step σ
. (NOTE: In the interim report, I used the
letter 's' instead of 'σ' to denote the loop step.) I once more gratefully acknowledge the invaluable help I received        
from my former colleagues — Andy Earnest, Don Redmond, and Robert Robinson — in unraveling this conundrum.  

Here is the relevant text from page 9 of the 1984 report:


      Below are several examples that illustrate pattern redundancy. They
demonstrate that the requirement n ≡ 1 (mod α) is too restrictive.

EXAMPLE: (n, α) = (3 ⋅ 72, 3)                                                  
= (147, 3)                       

(a)                                                      
                      σ = every odd integer divisible by neither 3 nor 7
ν = n                                                 
symmetry = d6                                 

                                    There are 14 different images with d6 symmetry. Each one
                            is generated by three different values of the loop step
                             σ in the open interval [1,2n]. We'll call these numbers
                          σ1, σ2, and σ3, but the same image is also generated
            by three complementary values of σ, which
                                  we'll call σ4, σ5, and σ6. These complementary values are
                        respectively equal to 2nσ1, 2nσ2, and 2nσ3.
                   The captions under each image list the values of
σ1, σ2, σ3 (in the upper caption) and
  σ4, σ5, and σ6 (in the lower caption).
      
                       An image with dk symmetry is symmetrical under
                           inversion in its center if k is even, but not otherwise.
               Hence a d6 K-pattern, for example, will look
                             exactly the same when its string of power residues —
             and therefore its constituent unit vectors —
                 are arranged in reverse order. A d3 K-pattern,
                            by contrast, would be flipped upside-down. The two
                          schematic diagrams below illustrate this difference.

d6 pattern                           d3 pattern





                                                        1    67   79                                                  5   41  101                                                2   11 134                                                 
                                                     293 227 215                                              289 253 193                                            292 283 160                                                 


                                                       17 167 257                                              19   31   97                                                23   53   71                                                         
                                                     277 177   37                                            275 263 197                                              261 241 223                                                          


                                              83   89 269                                               61 115   29                                                   59 131 251                                               
                                           211  205  25                                             233 179 265                                                 235 163   43                                               


                                                    85 109 247                                                    65 137 239                                           107 113 221                                             
                                                 209 185   47                                                  229 157   55                                           187 181   73                                             


                                                95 155 191                                          125 143 173                                                      
                                               99 139 103                                           169 151 121                                                      


(b)                                                    
(n, α) = (147, 3)                                
                           σ = every odd multiple of 3 that is not divisible by 7
ν = n                                                 
symmetry = d2                                  

                  There are 7 distinct images, each one produced
                              by six different values of σ in the open interval [1,2n].
                             The captions under each image list these six σ values.
               The lower captions list values of σ for which
                              the order of the residues — and consequently also the
      order of the unit vectors — is reversed.


                                                     3 201 237                                                  9    15 123                                             27    45   75                                               
                                                291   93   57                                               285  279 171                                           267  249 219                                               



                                                           33 153 255                                                  51 183 207                                           69 213 259                                               
                                                        261 141  39                                                  243 111  87                                          225  81   35                                               



                                                                                                           99 177 165                                                                                                          
                                                                                                         195 117 129                                                                                                           


     (c)                                                          
(n, α) = (147, 3)                                
                          σ = 7 + 42k (k = 0, 1, 2, 3);   σ = 35 + 42k (k = 1, 2)
ν = 6                                               
symmetry = d6 (regular hexagon)  

   
    7   49   91 133 175 217 259
287 245 203 161 119   77   35

The σ values in these two rows of
        captions are pairwise complementary.


    (d)                                                          
(n, α) = (147, 3)                                
                              σ = 14 + 42k (k = 0, 1, 2, 3);   σ = 28 + 42k (k = 0, 1, 2)
ν = 3                                                  
symmetry = d3 (equilateral triangle)

   
   14   56   98 140 182 224 266
280 238 196 154 112   70   28

The σ values in these two rows of
        captions are pairwise complementary.


(e)                                                   
(n, α) = (147, 3)                              
σ = 21k (k = 1, 2, 3, ...)                  
ν = 1                                               
                        symmetry = d2 (horizontal unit line segment)        



(f)                                                     
(n, α) = (147, 3)                              
                         σ = every even integer divisible by neither 3 nor 7
ν = n                                               
symmetry = d3                                

There are 14 distinct images, each one                  
              produced by exactly six different values of σ < 2n (=294).
      The captions under each image list these six σ values.
The σ values σ4, σ5, and σ6 in the lower captions  
     define an 'upside-down' version of the 'rightside-up'
    image defined by σ1, σ2 and σ3. For each of these  
         14 images, σ1 + σ2 = σ6 — and (σ4 + σ5) mod 294 = σ3.



                                        2 134 158                                                 4   22 268                                                   8   44 242                                             
                                   292 160 136                                             290 272   26                                               286 250   52                                             



                                                 10   82 202                                               16   88 190                                               20 110 164                                               
                                              284 212   92                                             278 206 104                                             274 184 130                                               



                                               32  86  176                                                34  40 220                                                38  62  194                                             
                                            262 208 118                                              260 254  74                                              156 132 100                                             



                                          46 106 142                                               50 116 128                                                 58   64 172                                             
                                       248 188 152                                             244 178 166                                               236 230 122                                             



                                                                                    68   80 146                                     76   94  124                                                                                   
                                                                                 226 214 148                                    218 200 170                                                                                   



(g)                                                   
(n, α) = (147, 3)                              
                    σ = integer i that is divisible by 6 but not by 42
ν = n                                               
symmetry = lattice                          

              There are 7 distinct images, each produced
                          by precisely six different values of σ < 2n (= 294).

The σ values in these two rows of
        captions are pairwise complementary.


                                          6 108 180                                                 12  66 216                                                         18   30 246                                             
                                        288 186 114                                              282 228   78                                                       276 264   48                                                



                                                24 132 138                                                     36   60  198                                                  54  90  150                                               
                                             270 162 156                                                   258 234    96                                                240 204 144                                               



                                                                                                           72 102 120                                                                                                         
                                                                                                         222 192 174                                                                                                         


EXAMPLE: (n, α) = (3 ⋅ 112, 3)                                                  
= (363, 3)                       

(a)                                                     
       σ = every odd integer i ∋ GCD(i, n) = 1
ν = n                                                 
symmetry = d6                                 

    There are 121 distinct images.                         
The label under each image lists its σ value.


                                            1                                                             5                                                               7                                                 


                                                      13                                                                15                                                             17                                                      


                                                      19                                                                23                                                             25                                                      
                                                      29                                                                31                                                             35                                                      


                                                      37                                                            41                                                               43                                                      


                                                          47                                                                49                                                           53                                                      


                                              59                                                      61                                                       65                                                      


                                            67                                                    71                                                        73                                                    


                                                    79                                                         83                                                85                                                  


                                                    89                                                         91                                                95                                                  


                                                        97                                                          101                                                       103                                                 


                                              107                                                      109                                                       113                                                      


                                            119                                                    125                                                        127                                                    


                                                    131                                                         133                                                137                                                  


                                                    139                                                         145                                                149                                                  


                                                        151                                                          155                                                       157                                                 


                                              161                                                      163                                                       167                                                      


                                            169                                                    173                                                        175                                                    


                                                    179                                                         181                                                185                                                  


                                                    193                                                         197                                                199                                                  



                                                    203                                                        205                                                     211                                               


                                              215                                                      217                                                       221                                                      


                                            227                                                    229                                                        233                                                    


                                                    235                                                         239                                                245                                                  


                                                    247                                                         251                                                257                                                  



                                                        259                                                          265                                                       269                                                 


                                              271                                                      277                                                       281                                                      


                                            283                                                    287                                                        289                                                    


                                                    293                                                         295                                                299                                                  


                                                    301                                                         305                                                307                                                  


                                                    311                                                         313                                                317                                                  


                                                    323                                                         325                                                329                                                  



                                                    335                                                         337                                                343                                                  



                                                    347                                                         349                                                353                                                  



                                                    355                                                         359                                                361                                                  


(b)                                                     
(n, α) = (363, 3)                                
       σ = every even integer i ∋ GCD(i, n) = 1
ν = n                                                  
symmetry = d3                                   

There are 114 distinct images.           
           The label under each image lists its σ value.
                                  

                                                    2                                                                 4                                                               8                                                  



                                                 10                                                              14                                                             16                                                



                                                                      20                                                             26                                                             28                                                                      



                                                                      32                                                             34                                                             38                                                                      

                                                                      40                                                             46                                                           50                                                                      



                                                    52                                                         56                                                58                                                  



                                                    62                                                         64                                                68                                                  



                                                    70                                                         74                                                76                                                  



                                                    80                                                         82                                                86                                                  



                                                    92                                                         94                                                98                                                  



                                                    100                                                         104                                                106                                                  



                                                    112                                                         116                                                118                                                  



                                                    122                                                         124                                                128                                                  



                                                    130                                                         134                                                136                                                  



                                                    140                                                         142                                                146                                                  



                                                    148                                                         152                                                158                                                  



                                                    160                                                         164                                                166                                                  



                                                    170                                                         172                                                178                                                  



                                                    182                                                         184                                                188                                                  



                                                    190                                                         194                                                196                                                  



                                                    200                                                         202                                                206                                                  



                                                    208                                                         212                                                214                                                  



                                                    218                                                         224                                                226                                                  



                                                    230                                                         232                                                236                                                  



                                                    238                                                         244                263.3;                                248                                                  



                                                    250                                                         254                                                256                                                  



                                                    260                                                         262                                                266                                                  



                                                    268                                                         272                                                274                                                  



                                                    278                                                         280                                                284                                                  



                                                    290                                                         292                                                296                                                  



                                                    298                                                         302                                                304                                                  



                                                    310                                                         314                                                316                                                  



                                                    320                                                         322                                                326                                                  



                                                    328                                                         332                                                334                                                  



                                                    338                                                         340                                                344                                                  



                                                    346                                                         350                                                356                                                  



                                                                      358                                                            362                                                                      



EXAMPLE: (n, α) = (55, 3)                                                     
The value of σ = r + 9(c − 1), where                     
r = row number and c = column number.             
      Rows are numbered 1 to 9 from bottom to top.          
Columns are numbered 1 to 6 from right to left.  

(a) b & w
            (i) rounded




        (ii) standard


                            54                             45                             36                             27                              18                              9                            

                            53                             44                             35                             26                              17                              8                            

                            52                             43                             34                             25                              16                              7                            

                            51                             42                             33                             24                              15                              6                            

                            50                             41                             32                             23                              14                              5                            

                            49                             40                             31                             22                              13                              4                            

                            48                             39                             30                             21                              12                              3                            

                            47                             38                             29                             20                              11                              2                            

                            46                             37                             28                             19                              10                              1                            


(b) colored
ν has the same value for all images of the same color.


                            54                             45                             36                             27                              18                              9                            


                            53                             44                             35                             26                              17                              8                            

                            52                             43                             34                             25                              16                              7                            

                            51                             42                             33                             24                              15                              6                            

                            50                             41                             32                             23                              14                              5                            

                            49                             40                             31                             22                              13                              4                            

                            48                             39                             30                             21                              12                              3                            

                            47                             38                             29                             20                              11                              2                            

                            46                             37                             28                             19                              10                              1                            



EXAMPLE: (n, α) = (35, 3)                                                      

ODD σ


                             1                                        3                                         5                                        7                                        9                                        11                            
                             13                                        15                                         17                                        19                                        21                                        23                            


                                       25                                      27                                      29                                      31                                      33                                       


EVEN σ


                              2                                         4                                        6                                        8                                        10                                        12                            


                            14                                      16                                      18                                       20                                     22                                      24                            
                                 26                                      28                                      30                                      32                                      34                                 



EXAMPLE: (n, α) = (15, 3)                                                      

ODD σ


                         1                                  3                                   5                                 7                                   9                                 11                                13                        



EVEN σ


                         2                                  4                                   6                                 8                                   10                                12                                14                        




EXAMPLE: (n, α) = (77, 3)                                                      

ODD σ


                            1                                         3                                        5                                        7                                         9                                       11                            


                           13                                      15                                      17                                       19                                      21                                     23                            


                            25                                      27                                      29                                       31                                     33                                       35                           


                            37                                      39                                      41                                       43                                     45                                      47                            


                            49                                      51                                      53                                       55                                     57                                       59                           


                            61                                      63                                      65                                       67                                     69                                      71                            


                                                                                                        73                                      75                                                                                                        



EVEN σ


                            2                                         4                                        6                                        8                                         10                                       12                            


                           14                                      16                                      18                                       20                                      22                                     24                            


                            26                                      28                                      30                                       32                                     34                                       36                           


                                    38                                       40                                      42                                       44                                       46                                      48                                   


                            50                                      52                                      54                                       56                                     58                                       60                           



                            62                                      64                                      66                                       68                                     70                                      72                            


                                                                                                        74                                      76                                                                                                        



A 'Cat's Cradle'



Three examples of 'Decorated Cycloids'



     


(n, α, σ) = (75, 3, 49)
ν=7350



CATALOG OF SELECTED IMAGES (1986)

Of the three integers labeling each image in this catalog,
the first is the exponent α,
              the second is the [loop] step σ, and
the third is the modulus n.
Part 2
Part 3
Part 4
Part 5
Part 6
Part 7
Part 8
Part 9
Part 10

                 The image sets in Parts 2 to 8 were generated (in 1983) with a
a FORTRAN program on a mainframe computer.    

                          The image set in Part 9 was generated with a MATHEMATICA      
          notebook. It is composed of a sequence of 33 images for
modulus n = 65,
      exponent α = 3, and
              step σ = 1, 3, 5, ..., 63, 65.

                       The image set in Part 10 was generated with a MATHEMATICA
          notebook. It is composed of a sequence of 10 images for
             modulus n = 3,5,7,11,13,17,19,23,29,31,
exponent α = modulus, and        
step σ = 4.                                    


        The variety of K-patterns is unlimited.
Below are many examples of      
CAT'S CRADLE and                
DECORATED CYCLOID      
patterns.                                      


                        CAT'S CRADLE family
                     n = p3 (p = odd prime),
α = p, and
         σ = odd integer.

    If σ = k p (k = odd integer), the pattern is defined as the trivial
pattern, because it consists of a single horizontal unit vector.

If σk p (k = odd integer), the pattern is called non-trivial.
It contains 2p2 unit vectors and has d2 symmetry. There are
    two lines of reflection — one horizontal and the other vertical.

There are altogether p(p − 1)/2 non-trivial patterns, each      
  composed of two interlaced sub-patterns L and R, which are
    congruent and have dp symmetry. Each sub-pattern is rotated
about its center by the angle π/p with respect to the other.    

      L and R each contain p congruent replicas of a pattern motif M,
      a d1-symmetric chain of p − 1 unit vectors, centered at angular
                positions that are uniformly distributed around the respective centers
       of L and R. Each replica of M in L(R) is joined at either end by
      a horizontal unit vector to a replica of M in R(L). Consecutive
instances of these linking vectors are oppositely directed.  


    Below is a CAT'S CRADLE pattern for (p, σ, j0) = (11,1,0).
               Both the set Sred of eleven red instances of the ten-vector motif M
                  and the set Sgreen of eleven green instances of M have d11 symmetry.

            Every vertex of the red dashed regular 11-gon coincides with the
                  midpoint of one of the red 10-vector pattern motifs of the frieze, and
               every vertex of the green dashed regular 11-gon coincides with the
              midpoint of one of the green 10-vector pattern motifs of the frieze.

            The red and green sub-patterns are congruent, but each is rotated
about its center by the angle π/p with respect to the other
and their centers are separated by a horizontal unit vector.


CAT'S CRADLE pattern for (p, σ, j0) = (11,1,0)


                             DECORATED CYCLOID family
           n = p3 (p = odd prime),
α = p, and          
                                                                            σ = even integer from the set {2, 4, 6, ..., p(p − 3)/2, p(p − 1)/2}.

          For each odd prime p, there are p(p − 1)/2 non-trivial
frieze patterns — one for each even step σ:        

    If σ = k p (k = even integer), the pattern is trivial.
    It contains a single horizontal unit vector.              

           If σk p , the pattern is composed of a linear chain of
               congruent pattern motifs M, each of which is comprised
              of p − 1 unit vectors and has d1 symmetry. Each replica
              of M is joined at either end to another replica of M by a
           horizontal unit linking vector. The linking vectors are
all pointed in the same direction (left or right).  

              As described below, the vertices at the centers of all the
       instances of M lie on a single cycloid — hence the
family name, 'DECORATED CYCLOID'.        

        The parametric equations for the prolate cycloid are:

x = a φb sin φ
y = ab cosφ,   
b > a.                   


There are 61 odd primes p < 300.
Here is an ordered sequence of 61 images — one for each of these 61 primes —
  of the (p-1)-vector pattern motif M of a DECORATED CYCLOID frieze pattern.
                The parameter set (n, α, σ, j0) for each of these DECORATED CYCLOIDS is (p, p, 2, 0).


Below is a DECORATED CYCLOID frieze for (p, σ, j0) = (11,2,0).

Just as in the CAT'S CRADLE for (p, σ, j0) = (11,1,0) shown above,
every red or green ten-vector pattern motif M has d1 symmetry, but
in these patterns, the center of every motif lies on the same curve, a
prolate cycloid. The horizontal unit vectors that join red and green
motifs all have a common direction — to the right. All instances of
the motif M are related by composition of (a) rotation by an integer
      multiple of π/m about the center of a common circle and (b) translation
to the right by an integer number of unit vectors.                              

John H. Conway has invented a new symbol for the symmetry of frieze
patterns that have two parallel lines of reflection (he calls this symmetry 'sidle'):

(cf. p. 68 of 'The SYMMETRIES of THINGS',
by Conway, Burgiel, and Goodman-Strauss,
A.K. Peters, Ltd, 2008).


Click here for an enlarged view of this CAT'S CRADLE image — (p, σ, j0) = (11,1,0)
The dashed chords join those vertices in the pattern that lie exactly on the corresponding cycloid (just below).



Click here for an enlarged view of this image


Corresponding to every CAT'S CRADLE or DECORATED CYCLOID pattern,    
there exists a simpler unlinked centro-symmetric pattern of d2p symmetry based  
on the same motif M. In these unlinked patterns, there are no linking vectors, and
  the motifs in each of the two interlaced motif subsets are located at the same radial
  distance from the center of the pattern. The central angles of consecutive instances
of the motif differ by Δθ = σ π/p (mod 2π).                                                               


Below — at the right — is the complete set of three
non-trivial CAT'S CRADLE patterns for p = 3. At   
      the left is the associated unlinked d6-symmetric pattern.


σ = 1     Δθ = 60°


σ = 5     Δθ = − 60°


σ = 7     Δθ = 60°


In the right column below is the complete set of twenty-
one non-trivial CAT'S CRADLE patterns for p = 7. In   
the left column are the associated unlinked d14 patterns.


σ = 1     Δθ ≅ π/7


σ = 3     Δθ ≅ 3π/7


σ = 5     Δθ ≅ 5π/7


σ = 9     Δθ ≅ − 5π/7


σ = 11     Δθ ≅ − 3π/7


σ = 13     Δθ ≅ − π/7


σ = 15     Δθ ≅ π/7


σ = 17     Δθ ≅ 3π/7


σ = 19     Δθ ≅ 5π/7


σ = 23     Δθ ≅ − 5π/7


σ = 25     Δθ ≅ − 3π/7


σ = 27    - Δθ ≅ − π/7


σ = 29     Δθ ≅ π/7


σ = 31     Δθ ≅ 3π/7


σ = 33     Δθ ≅ 5π/7


σ = 37     Δθ ≅ − 5π/7


σ = 39     Δθ ≅ − 3π/7


σ = 41     Δθ ≅ −π/7


σ = 43     Δθ ≅ π/7


σ = 45     Δθ ≅ 3π/7


σ = 47     Δθ ≅ 5π/7


CAT'S CRADLE_5

The complete set of 10 non-trivial patterns of CAT'S CRADLE_5 (p = 5):
σ = {1, 3, 7, 9, 11, 13, 17, 19, 21, 23}.
The entire ten-pattern sequence is displayed eight times.

The pattern for σ50k+j (j, k = 1, 2, 3,...) is identical to the pattern for σj.

To animate the sequence, hold down the 'PageDown' key.

Here this set of ten patterns is shown in two colors.


CAT'S CRADLE_7

The complete set of the 21 non-trivial patterns of CAT'S CRADLE_7 (p = 7):
σ = {1, 3, 5, 9, 11, 13, 15, 17, 19, 23, 25, 27, 29, 31, 33, 37, 39, 41, 43, 45, 47}.

The pattern for σ98k+j (j, k = 1, 2, 3,...) is identical to the pattern for σj, and
the pattern for σ49k+j (j, k = 1, 2, 3,...) is identical to the pattern for σ49kj.

Here's an alternative way to show the detailed structure of these patterns:  

For σ ≠ 7k (k=1,2,...), the complete image is followed by a d7-symmetric  
unlinked image of one-half of the complete pattern, comprising a set of     
seven replicas of the six-edged pattern motif M. The horizontal linking     
vectors are omitted from this image, but a colored stellated heptagon        
{p/q} is inscribed, with each vertex located at the center of one of the       
seven replicas of the pattern motif. The polygon density (also known      
as the winding number) of each heptagon is determined simply by the     
angular positions of the centers of the seven replicas of the pattern motif,
     which are governed by the order in which the edges of the pattern are drawn.
By inspecting these patterns you can readily confirm that the 'q' in {p/q}  
      is equal to σ (mod 7). (The proof is short and simple. Do you recognize it?)   

To animate these sequences, hold down the 'PageDown' key.


CAT'S CRADLE_13

The complete set of 78 non-trivial patterns of CAT'S CRADLE_13 (p = 13):
σ = {1, 3, 5, 7, 9, 11, 15, 17, ..., 165, 167}.

To animate the sequence, hold down the 'PageDown' key.


CAT'S CRADLE_17

The first 128 patterns of CAT'S CRADLE_17 (p = 17):
σ = {1, 3, 5, ..., 253, 255}.
Included are 7 instances of the trivial pattern.
(The complete set contains 136 distinct non-trival patterns.)

To animate the sequence, hold down the 'PageDown' key.


CAT'S CRADLE_47

The first 48 patterns of CAT'S CRADLE_47 (p = 47):
σ = {1, 3, ..., 93}.
Included is one instance of the trivial pattern.
(The complete set contains 1081 non-trival patterns.)

To animate the sequence, hold down the 'PageDown' key.

You may need to
(a) adjust the ZOOM value to 100%
and then
(b) center the images on the screen.


DECORATED CYCLOID_5

The complete set of 10 non-trivial patterns for DECORATED CYCLOID_5 (p=5):
σ = {2, 4, 6, 8, 12, 14, 16, 18, 22, 24}.
Each pattern is shown eight times.

The pattern for σ50k+j (j, k = 1, 2, 3,...) is identical to the pattern for σj.

To animate the sequence, hold down the 'PageDown' key.


DECORATED CYCLOID_7

The first 21 non-trivial patterns for DECORATED CYCLOID_7 (p=7)
σ = {2, 4, 6, 8, 12, 14, 16, 18, 22, ..., 46, 48}.

The pattern for σ98k+j (j, k = 1, 2, 3,...) is identical to the pattern for σj.

To animate the sequence, hold down the 'PageDown' key.

DECORATED CYCLOID_7 (complete)

The complete set of 49 patterns for DECORATED CYCLOID_7 (p=7):
σ = {2, 4, 6, ..., 96, 98}.
The red dashed chords join those vertices
that lie on the corresponding cycloid.

The pattern for σ100k+j (j, k = 1, 2, 3,...) is identical to the pattern for σj.

To animate the sequence, hold down the 'PageDown' key.


DECORATED CYCLOID_17

The first 128 patterns of DECORATED CYCLOID_17 (p=17):
σ = {2, 4, ..., 256}.
Included are 7 instances of the trivial pattern.
(The complete set contains 136 distinct non-trival patterns.)

To animate the sequence, hold down the 'PageDown' key.


DECORATED CYCLOID_47

The first 140 patterns of DECORATED CYCLOID_47 (p=47):
σ = {2, 4, ..., 280}.
Included are 3 instances of the trivial pattern.

To animate the sequence, hold down the 'PageDown' key.


Back to GEOMETRY GARRET